Home Browse Text SearchFunctional Group SearchStructure SearchPreferences Administration

selected data collection: 1

IRIS SDF: browse content


1
  <<    <    >    >>  

1:634040 C9H17NO5
hit structure
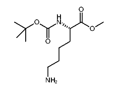
1:634041 C12H24N2O4
hit structure
1:634042 C15H21NO4
hit structure
1:634043 C10H16N4O4
hit structure
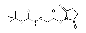
1:634044 C10H19NO5
hit structure
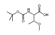
1:634045 C11H19NO4
hit structure
1:634046 C11H19NO4
hit structure
1:634047 C10H16N4O4
hit structure
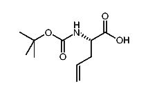
1:634048 C10H17NO4
hit structure
1:634049 C11H16N2O7
hit structure
1:634050 C11H19NO4
hit structure
1:634051 C11H19NO4
hit structure
1:634052 C12H21NO4
hit structure
1:634053 C12H21NO4
hit structure
1:634054 C12H21NO4
hit structure
1:634055 C12H21NO4
hit structure
1:634056 C12H21NO4
hit structure
1:634057 C12H21NO4
hit structure
1:634058 C16H29NO5
hit structure
1:634059 C16H21NO4
hit structure
1:634060 C16H21NO4
hit structure
1:634061 C16H27NO4
hit structure
1:634062 C32H42N2O8
hit structure
1:634063 C32H42N2O8
hit structure
1:634064 C15H21NO4
hit structure

1
  <<    <    >    >>  

entries in data collection: 639090