Home Browse Text SearchFunctional Group SearchStructure SearchPreferences Administration

selected data collection: 1

IRIS SDF: browse content


1
  <<    <    >    >>  

1:633802 C11H22N4O4
hit structure
1:633803 C22H24N2O6
hit structure
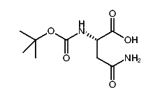
1:633804 C9H16N2O5
hit structure
1:633805 C12H19NO6
hit structure
1:633806 C16H21NO6
hit structure
1:633807 C15H25NO6
hit structure
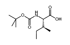
1:633808 C13H23NO6
hit structure
1:633809 C13H23NO6
hit structure
1:633810 C13H23NO6
hit structure
1:633811 C11H20N2O5S
hit structure
1:633812 C15H21NO4S
hit structure
1:633813 C16H23NO4S
hit structure
1:633814 C16H23NO5S
hit structure
1:633815 C12H23NO4S
hit structure
1:633816 C16H27NO6
hit structure
1:633817 C16H25N3O6
hit structure
1:633818 C11H17N3O4
hit structure
1:633819 C10H17NO5
hit structure
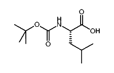
1:633820 C11H21NO4
hit structure
1:633821 C11H21NO4
hit structure
1:633822 C19H27ClN2O6
hit structure
1:633823 C15H26N2O6
hit structure
1:633824 C16H30N2O6
hit structure
1:633825 C19H28N2O6
hit structure
1:633826 C11H22N2O4
hit structure

1
  <<    <    >    >>  

entries in data collection: 639090