Home Browse Text SearchFunctional Group SearchStructure SearchPreferences Administration

selected data collection: 1

IRIS SDF: browse content


1
  <<    <    >    >>  

1:633620 C25H33ClN4O5
hit structure
1:633621 C20H29ClN6O4
hit structure
1:633622 C23H32ClN3O5
hit structure
1:633623 C27H30N4O6
hit structure
1:633624 C34H33N5O10
hit structure
1:633625 C30H36N6O7
hit structure
1:633626 C37H39N7O11
hit structure
1:633627 C32H39N5O8
hit structure
1:633628 C39H42N6O12
hit structure
1:633629 C13H14O5
hit structure
1:633630 C20H17NO9
hit structure
1:633631 C42H54N6O9
hit structure
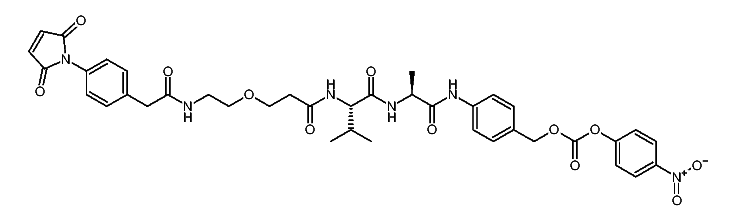
1:633632 C49H57N7O13
hit structure
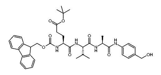
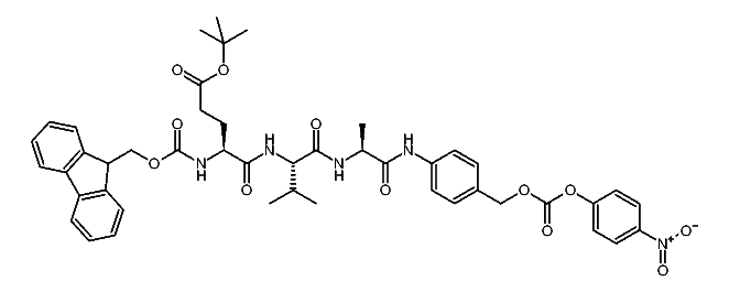
1:633633 C39H48N4O8
hit structure
1:633634 C46H51N5O12
hit structure
1:633635 C19H27N3O5
hit structure
1:633636 C22H33N5O6
hit structure
1:633637 C12H14N2O
hit structure
1:633638 C9H18N2O2
hit structure
1:633639 C15H14N2O2
hit structure
1:633640 C11H26N2O4
hit structure
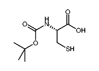
1:633641 C8H15NO4S
hit structure
1:633642 C27H29NO4S
hit structure
1:633643 C13H22N2O6
hit structure
1:633644 C24H28N2O6
hit structure

1
  <<    <    >    >>  

entries in data collection: 639090