Home Browse Text SearchFunctional Group SearchStructure SearchPreferences Administration

selected data collection: 1

IRIS SDF: browse content


1
  <<    <    >    >>  

1:633142 C89H91N7O14
hit structure
1:633143 C96H98N8O15
hit structure
1:633144 C25H50N4O6
hit structure
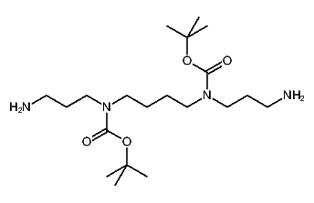
1:633145 C20H42N4O4
hit structure
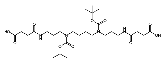
1:633146 C39H56N4O9
hit structure
1:633147 C10H24N6
hit structure
1:633148 C31H58N4O10
hit structure
1:633149 C20H42N4O4
hit structure
1:633150 C10H22N8
hit structure
1:633151 C29H54N4O9
hit structure
1:633152 C25H48N6O6
hit structure
1:633153 C28H50N4O10
hit structure
1:633154 CH2Cl2
hit structure
1:633155 C3H7NO
hit structure
1:633156 C4H10O
hit structure
1:633157 C3H2F6O
hit structure
1:633158 C5H9NO
hit structure
1:633159 C5H11N
hit structure
1:633160 C2HF3O2
hit structure
1:633161 C2H3F3O
hit structure
1:633162 C5H9NO
hit structure
1:633163 C6H14O3S
hit structure
1:633164 C19H17P
hit structure
1:633165 C7H7ClO2S
hit structure
1:633166 C12H14O2
hit structure

1
  <<    <    >    >>  

entries in data collection: 633460