Home Browse Text SearchFunctional Group SearchStructure SearchPreferences Administration

selected data collection: 1

IRIS SDF: browse content


1
  <<    <    >    >>  

1:632686 C6H7N3O4
hit structure
1:632687 C11H10N4O2
hit structure
1:632688 C20H28N4O7
hit structure
1:632689 C15H13N5O4
hit structure
1:632690 C24H31N5O9
hit structure
1:632691 C24H30N6O7
hit structure
1:632692 C10H11N5
hit structure
1:632693 C17H25N5O4
hit structure
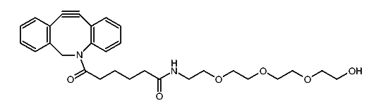
1:632694 C29H37N3O6
hit structure
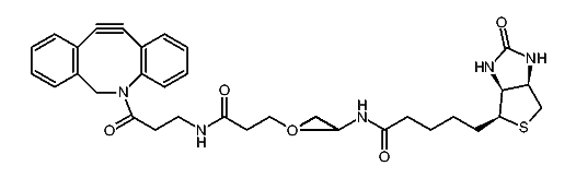
1:632695 C32H42N4O10S
hit structure
1:632696 C21H19NO3
hit structure
1:632697 C25H22N2O5
hit structure
1:632698 C32H40N2O9
hit structure
1:632699 C36H43N3O11
hit structure
1:632700 C59H69N3O14S3
hit structure
1:632701 C25H21N3O4
hit structure
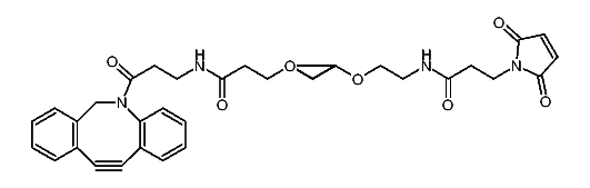
1:632702 C36H42N4O9
hit structure
1:632703 C29H36N2O6
hit structure
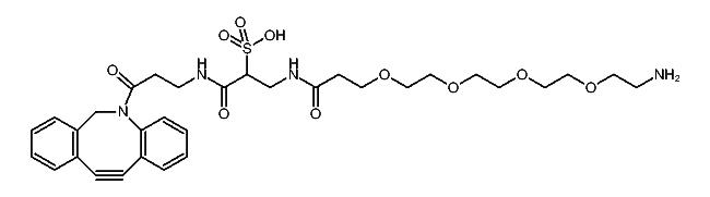
1:632704 C39H51N5O8S
hit structure
1:632705 C26H30N2O4
hit structure
1:632706 C26H30N2O4
hit structure
1:632707 C26H30N2O4
hit structure
1:632708 C26H30N2O4
hit structure
1:632709 C9H6N4O2
hit structure
1:632710 C15H10N2O6
hit structure

1
  <<    <    >    >>  

entries in data collection: 633460