Home Browse Text SearchFunctional Group SearchStructure SearchPreferences Administration

selected data collection: 1

IRIS SDF: browse content


1
  <<    <    >    >>  

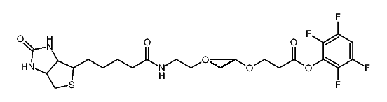
1:632306 C33H51F4NO11S2
hit structure
1:632307 C41H67F4NO15S2
hit structure
1:632308 C65H115F4NO27S2
hit structure
1:632309 C89H163F4NO39S2
hit structure
1:632310 C66H126N4O26S3
hit structure
1:632311 C20H20F4N2O7
hit structure
1:632312 C24H28F4N2O9
hit structure
1:632313 C32H44F4N2O13
hit structure
1:632314 C40H60F4N2O17
hit structure
1:632315 C64H108F4N2O29
hit structure
1:632316 C88H156F4N2O41
hit structure
1:632317 C115H209F4N3O54
hit structure
1:632318 C19H24BrF4NO7
hit structure
1:632319 C35H56BrF4NO15
hit structure
1:632320 C59H104BrF4NO27
hit structure
1:632321 C44H70N4O18
hit structure
1:632322 C57H101F4N3O26
hit structure
1:632323 C81H149F4N3O38
hit structure
1:632324 C140H246N12O64
hit structure
1:632325 C120H230Br4N8O56
hit structure
1:632326 C53H108N2O25
hit structure
1:632327 C26H45NO15
hit structure
1:632328 C58H109NO31
hit structure
1:632329 C67H117F4N3O28S
hit structure
1:632330 C31H44F4N4O9S
hit structure

1
  <<    <    >    >>  

entries in data collection: 633460