Home Browse Text SearchFunctional Group SearchStructure SearchPreferences Administration

selected data collection: 1

IRIS SDF: browse content


1
  <<    <    >    >>  

1:632257 C24H50N4O12
hit structure
1:632258 C73H129F4N5O33
hit structure
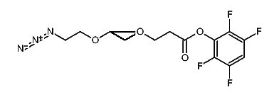
1:632259 C28H36F4N2O11
hit structure
1:632260 C59H107N7O21
hit structure
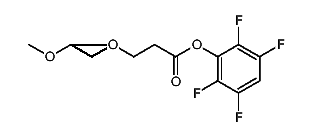
1:632261 C17H21F4N3O6
hit structure
1:632262 C33H53F4N3O14
hit structure
1:632263 C47H83N7O21
hit structure
1:632264 C86H159N3O43
hit structure
1:632265 C71H131N7O33
hit structure
1:632266 C28H56O15
hit structure
1:632267 C32H59NO17
hit structure
1:632268 C34H56F4O15
hit structure
1:632269 C150H289N4O61P
hit structure
1:632270 C30H49BrF6N6O15
hit structure
1:632271 C118H233N2O46P
hit structure
1:632272 C42H79BrN6O19
hit structure
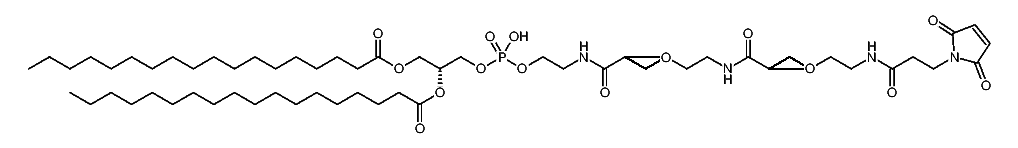
1:632273 C144H285N2O59P
hit structure
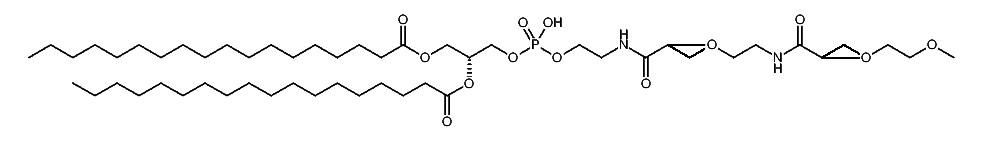
1:632274 C109H205F4NO52
hit structure
1:632275 C25H28O3S
hit structure
1:632276 C103H205NO52
hit structure
1:632277 C78H151BrN6O31
hit structure
1:632278 C117H214N2O53
hit structure
1:632279 C110H210N2O53
hit structure
1:632280 C102H204N2O51
hit structure
1:632281 C28H54Br2N2O13
hit structure

1
  <<    <    >    >>  

entries in data collection: 633460