Home Browse Text SearchFunctional Group SearchStructure SearchPreferences Administration

selected data collection: 1

IRIS SDF: browse content


1
  <<    <    >    >>  

1:631474 C30H38N2O8
hit structure
1:631475 C30H38N2O8
hit structure
1:631476 C35H47N3O10
hit structure
1:631477 C29H36N2O8S
hit structure
1:631478 C33H36N2O8
hit structure
1:631479 C31H40N2O9
hit structure
1:631480 C32H42N2O9
hit structure
1:631481 C40H45N3O10
hit structure
1:631482 C37H44N2O9
hit structure
1:631483 C29H36N2O8
hit structure
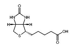
1:631484 C10H16N2O3S
hit structure
1:631485 C7H19N3
hit structure
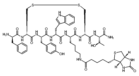
1:631486 C51H70N10O15S2
hit structure
1:631487 C51H61F9N10O15S2
hit structure
1:631488 C55H72N12O11S3
hit structure
1:631489 C90H106N12O13S3
hit structure
1:631490 C16H28N4O4S
hit structure
1:631491 C46H50N10O9
hit structure
1:631492 C55H65N7O12
hit structure
1:631493 C51H53N7O16
hit structure
1:631494 C48H63N13O10
hit structure
1:631495 C23H34N4O4S3
hit structure
1:631496 C14H20N4O4
hit structure
1:631497 C16H15N5
hit structure
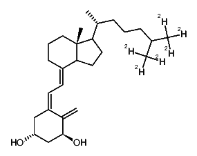
1:631498 C27H38D6O2
hit structure

1
  <<    <    >    >>  

entries in data collection: 633460