Home Browse Text SearchFunctional Group SearchStructure SearchPreferences Administration

selected data collection: 1

IRIS SDF: browse content


1
  <<    <    >    >>  

1:630655 C34H44O27R11-
hit structure
1:630656 C5H10O5
hit structure
1:630657 C34H44O27R11-
hit structure
1:630658 C51H63N3O24
hit structure
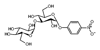
1:630659 C18H25NO13
hit structure
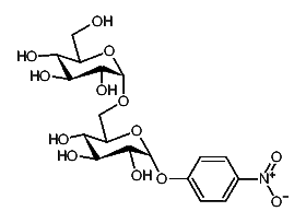
1:630660 C18H25NO13
hit structure
1:630661 C18H25NO13
hit structure
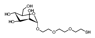
1:630662 C12H24O8S
hit structure
1:630663 C38H39NO14
hit structure
1:630664 C38H39NO14
hit structure
1:630665 C30H33NO12
hit structure
1:630666 C44H51NO22
hit structure
1:630667 C117H166N8O66
hit structure
1:630668 C81H120N6O50
hit structure
1:630669 C69H100N6O40
hit structure
1:630670 C53H74N4O30
hit structure
1:630671 C123H176N8O70
hit structure
1:630672 C87H130N6O54
hit structure
1:630673 C75H110N6O44
hit structure
1:630674 C59H84N4O34
hit structure
1:630675 C99H143N7O58
hit structure
1:630676 C99H143N7O58
hit structure
1:630677 C75H110N6O45
hit structure
1:630678 C75H110N6O45
hit structure
1:630679 C81H120N6O49
hit structure

1
  <<    <    >    >>  

entries in data collection: 633460