Home Browse Text SearchFunctional Group SearchStructure SearchPreferences Administration

selected data collection: 1

IRIS SDF: browse content


1
  <<    <    >    >>  

1:630443 C24H19NO4
hit structure
1:630444 C25H28N2O4S
hit structure
1:630445 C40H37NO4S
hit structure
1:630446 C41H39NO4S
hit structure
1:630447 C24H28N2O6
hit structure
1:630448 C25H30N2O6
hit structure
1:630449 C21H23NO4S
hit structure
1:630450 C26H31NO6
hit structure
1:630451 C27H37NO5Si
hit structure
1:630452 C37H45N7O7S
hit structure
1:630453 C24H28N2O5
hit structure
1:630454 C22H24N4O4
hit structure
1:630455 C35H44N2O6
hit structure
1:630456 C25H28N2O5
hit structure
1:630457 C28H28N2O8S
hit structure
1:630458 C29H27N5O3S
hit structure
1:630459 C26H19N3O4S2
hit structure
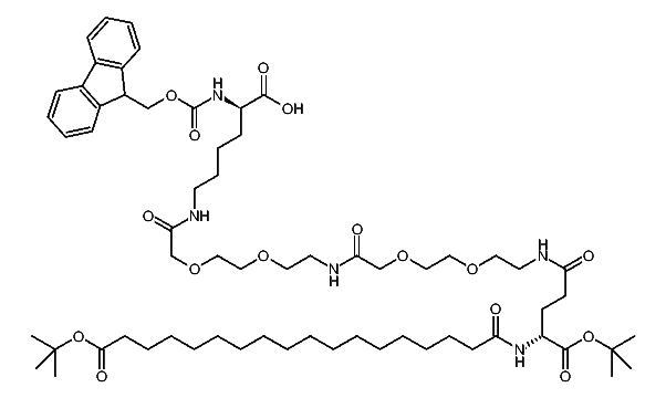
1:630460 C64H101N5O16
hit structure
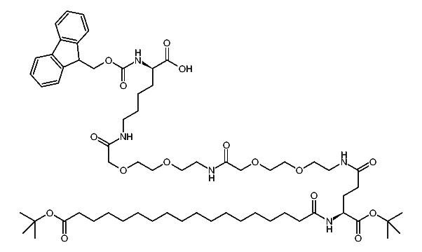
1:630461 C64H101N5O16
hit structure
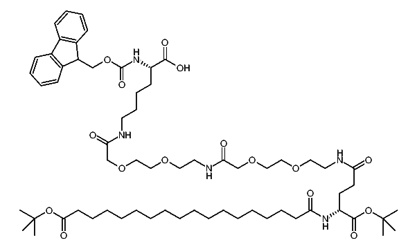
1:630462 C64H101N5O16
hit structure
1:630463 C22H21NO4S
hit structure
1:630464 C25H28N2O6
hit structure
1:630465 C24H24N2O6
hit structure
1:630466 C28H36N2O6
hit structure
1:630467 C39H34N2O5
hit structure

1
  <<    <    >    >>  

entries in data collection: 1107360