Home Browse Text SearchFunctional Group SearchStructure SearchPreferences Administration

selected data collection: 1

IRIS SDF: browse content


1
  <<    <    >    >>  

1:629247 C29H29NO6
hit structure
1:629248 C18H17NO4
hit structure
1:629249 C28H23NO4
hit structure
1:629250 C23H20N2O4
hit structure
1:629251 C21H23NO4
hit structure
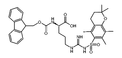
1:629252 C34H40N4O7S
hit structure
1:629253 C35H42N4O7S
hit structure
1:629254 C38H32N2O5
hit structure
1:629255 C22H21NO6
hit structure
1:629256 C23H25NO6
hit structure
1:629257 C22H21NO6
hit structure
1:629258 C23H25NO6
hit structure
1:629259 C24H27NO4
hit structure
1:629260 C21H23N3O5
hit structure
1:629261 C23H25NO4
hit structure
1:629262 C22H23NO4
hit structure
1:629263 C23H24N2O6
hit structure
1:629264 C24H28N2O6
hit structure
1:629265 C29H32N2O6
hit structure
1:629266 C22H22N2O6
hit structure
1:629267 C23H26N2O6
hit structure
1:629268 C39H34N2O5
hit structure
1:629269 C23H23NO6
hit structure
1:629270 C24H27NO6
hit structure
1:629271 C23H23NO6
hit structure

1
  <<    <    >    >>  

entries in data collection: 633460