Home Browse Text SearchFunctional Group SearchStructure SearchPreferences Administration

selected data collection: 1

IRIS SDF: browse content


1
  <<    <    >    >>  

1:629050 C11H28N2O3
hit structure
1:629051 C11H28N2O3
hit structure
1:629052 C11H28N2O3
hit structure
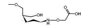
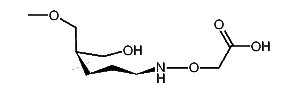
1:629053 C11H25NO5
hit structure
1:629054 C11H25NO5
hit structure
1:629055 C11H25NO5
hit structure
1:629056 C11H25NO5
hit structure
1:629057 C11H25NO5
hit structure
1:629058 C11H25NO5
hit structure
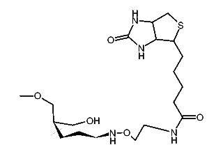
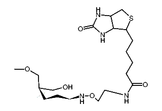
1:629059 C21H42N4O5S
hit structure
1:629060 C21H42N4O5S
hit structure
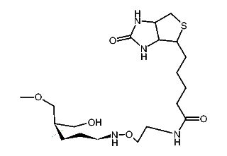
1:629061 C21H42N4O5S
hit structure
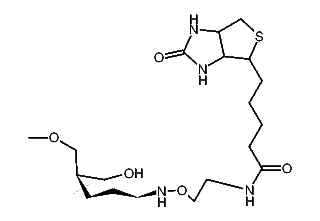
1:629062 C21H42N4O5S
hit structure
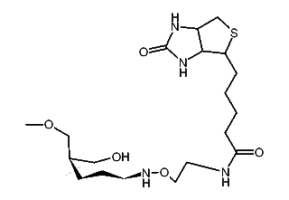
1:629063 C21H42N4O5S
hit structure
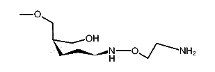
1:629064 C12H29NO3S
hit structure
1:629065 C25H23N3O2
hit structure
1:629066 C47H51FN7O7P
hit structure
1:629067 C41H49FN5O8P
hit structure
1:629068 C44H53FN7O8P
hit structure
1:629069 C48H54N7O8P
hit structure
1:629070 C47H54N5O9P
hit structure
1:629071 C45H56N7O9P
hit structure
1:629072 C40H49N4O9P
hit structure
1:629073 C40H49N4O8P
hit structure
1:629074 C50H58N7O9P
hit structure

1
  <<    <    >    >>  

entries in data collection: 633460