Home Browse Text SearchFunctional Group SearchStructure SearchPreferences Administration

selected data collection: 1

IRIS SDF: browse content


1
  <<    <    >    >>  

1:628857 C16H26N2O2
hit structure
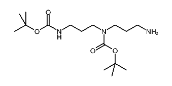
1:628858 C13H26N2O2
hit structure
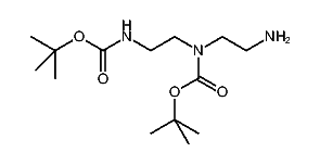
1:628859 C14H29N3O4
hit structure
1:628860 C14H29N3O4
hit structure
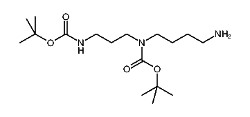
1:628861 C16H33N3O4
hit structure
1:628862 C16H33N3O4
hit structure
1:628863 C17H35N3O4
hit structure
1:628864 C17H35N3O4
hit structure
1:628865 C10H22N4O3
hit structure
1:628866 C24H50N4O4
hit structure
1:628867 C9H20N2O2S2
hit structure
1:628868 C13H28N2O2
hit structure
1:628869 C14H30N2O2
hit structure
1:628870 C15H32N2O2
hit structure
1:628871 C16H34N2O2
hit structure
1:628872 C17H36N2O2
hit structure
1:628873 C14H27N3O4
hit structure
1:628874 C9H19N3O2
hit structure
1:628875 C9H18N2O3
hit structure
1:628876 C23H47N5O6
hit structure
1:628877 C42H61N5O11
hit structure
1:628878 C13H22N2O4S2
hit structure
1:628879 C9H21N3O2
hit structure
1:628880 C16H33N3O4
hit structure
1:628881 C9H21N3O2
hit structure

1
  <<    <    >    >>  

entries in data collection: 633460