Home Browse Text SearchFunctional Group SearchStructure SearchPreferences Administration

selected data collection: 1

IRIS SDF: browse content


1
  <<    <    >    >>  

1:626988 C10H16BF4N3O2
hit structure
1:626989 C9H16BF4N3O3
hit structure
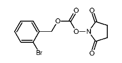
1:626990 C12H10BrNO5
hit structure
1:626991 C12H10ClNO5
hit structure
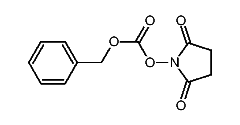
1:626992 C12H11NO5
hit structure
1:626993 C5H12ClF6N2P
hit structure
1:626994 C15H13NO2
hit structure
1:626995 C5H12F7N2P
hit structure
1:626996 C8H8O3
hit structure
1:626997 C5H7N3O3
hit structure
1:626998 C10H16F6N3O2P
hit structure
1:626999 C2H6S2
hit structure
1:627000 C2H6S
hit structure
1:627001 C7H8O
hit structure
1:627002 C7H8S
hit structure
1:627003 C9H22Si
hit structure
1:627004 C10H17BF4N4O3
hit structure
1:627005 C20H17ClO
hit structure
1:627006 C15H12O2
hit structure
1:627007 C10H12O4
hit structure
1:627008 C24H20N2O6
hit structure
1:627009 C12H16O5
hit structure
1:627010 C9H16N2
hit structure
1:627011 C11H14N3O5P
hit structure
1:627012 C14H20F6N3O3P
hit structure

1
  <<    <    >    >>  

entries in data collection: 633460