Home Browse Text SearchFunctional Group SearchStructure SearchPreferences Administration

selected data collection: 1

IRIS SDF: browse content


1
  <<    <    >    >>  

1:620071 C12H14N2O6Se
hit structure
1:620072 C14H19N5O4
hit structure
1:620073 C14H19N5O4
hit structure
1:620074 C25H32N2O4
hit structure
1:620075 C12H20N2O5
hit structure
1:620076 C11H18N2O3
hit structure
1:620077 C9H15N3O2
hit structure
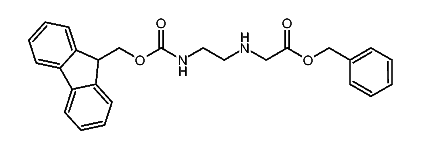
1:620078 C26H26N2O4
hit structure
1:620079 C12H26N2O4Si
hit structure
1:620080 C10H12N2O4Se
hit structure
1:620081 C12H13N5O2
hit structure
1:620082 C11H14N2O4Se
hit structure
1:620083 C14H16N8O2
hit structure
1:620084 C10H17N4NaO4
hit structure
1:620085 C12H13N5O2
hit structure
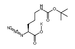
1:620086 C10H17KN4O4
hit structure
1:620087 C15H19N5O2
hit structure
1:620088 C14H17N5O2
hit structure
1:620089 C20H32N4O5S
hit structure
1:620090 C11H23N3O3
hit structure
1:620091 C10H19NO2
hit structure
1:620092 C22H26N2O4
hit structure
1:620093 C20H32N4O5S
hit structure
1:620094 C7H16N2O2
hit structure
1:620095 C6H12N2O3
hit structure

1
  <<    <    >    >>  

entries in data collection: 622200