Home Browse Text SearchFunctional Group SearchStructure SearchPreferences Administration

selected data collection: 1

IRIS SDF: browse content


1
  <<    <    >    >>  

1:619346 C32H35NO14
hit structure
1:619347 C32H35NO14
hit structure
1:619348 C33H37NO14
hit structure
1:619349 C33H38N2O13
hit structure
1:619350 C9H18O5S
hit structure
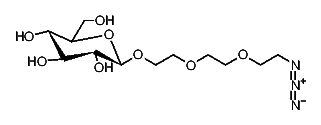
1:619351 C14H26N4O8
hit structure
1:619352 C17H29NO9
hit structure
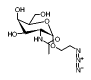
1:619353 C12H23N3O8
hit structure
1:619354 C15H26O9
hit structure
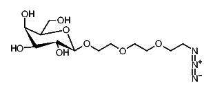
1:619355 C12H23N3O8
hit structure
1:619356 C15H26O9
hit structure
1:619357 C14H26N4O8
hit structure
1:619358 C17H29NO9
hit structure
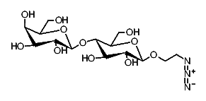
1:619359 C18H33N3O13
hit structure
1:619360 C21H36O14
hit structure
1:619361 C12H23N3O8
hit structure
1:619362 C15H26O9
hit structure
1:619363 C8H15N3O6
hit structure
1:619364 C8H15N3O6
hit structure
1:619365 C8H15N3O6
hit structure
1:619366 C10H18N4O6
hit structure
1:619367 C14H25N3O11
hit structure
1:619368 C15H28O11
hit structure
1:619369 C17H31NO11
hit structure
1:619370 C17H31NO11
hit structure

1
  <<    <    >    >>  

entries in data collection: 627830