Home Browse Text SearchFunctional Group SearchStructure SearchPreferences Administration

selected data collection: 1

IRIS SDF: browse content


1
  <<    <    >    >>  

1:617855 C20H19NO4
hit structure
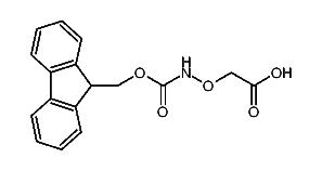
1:617856 C17H15NO5
hit structure
1:617857 C22H23NO4
hit structure
1:617858 C22H23NO4
hit structure
1:617859 C22H23NO4
hit structure
1:617860 C22H23NO4
hit structure
1:617861 C23H19NO4
hit structure
1:617862 C27H22N2O4
hit structure
1:617863 C29H25NO4
hit structure
1:617864 C24H29NO4
hit structure
1:617865 C25H31NO4
hit structure
1:617866 C39H35NO5S
hit structure
1:617867 C19H19N3O5
hit structure
1:617868 C27H33N3O7
hit structure
1:617869 C21H23NO4
hit structure
1:617870 C30H33NO5
hit structure
1:617871 C26H21FN2O4
hit structure
1:617872 C25H30N2O6
hit structure
1:617873 C25H22ClNO4
hit structure
1:617874 C23H24N2O5
hit structure
1:617875 C39H34N2O5
hit structure
1:617876 C25H22FNO4
hit structure
1:617877 C25H22ClNO4
hit structure
1:617878 C41H35N3O4
hit structure
1:617879 C22H25NO5
hit structure

1
  <<    <    >    >>  

entries in data collection: 622200