Home Browse Text SearchFunctional Group SearchStructure SearchPreferences Administration

selected data collection: 1

IRIS SDF: browse content


1
  <<    <    >    >>  

1:617755 C18H20O3
hit structure
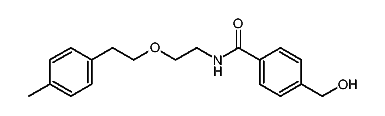
1:617756 C19H23NO3
hit structure
1:617757 C43H44N2O7
hit structure
1:617758 C16H22O4
hit structure
1:617759 C11H16OS
hit structure
1:617760 C31H31NO3
hit structure
1:617761 C18H22O3
hit structure
1:617762 C11H16O2
hit structure
1:617763 C11H16O2
hit structure
1:617764 C54H53N3O9
hit structure
1:617765 C37H35NO7
hit structure
1:617766 C38H37NO7
hit structure
1:617767 C44H44N2O4
hit structure
1:617768 C43H41NO7
hit structure
1:617769 C79H157N7
hit structure
1:617770 C19H28N2O6
hit structure
1:617771 C30H34N2O6
hit structure
1:617772 C29H32N2O6
hit structure
1:617773 C28H30N2O6
hit structure
1:617774 C21H34N2O6
hit structure
1:617775 C29H32N2O6
hit structure
1:617776 C28H30N2O6
hit structure
1:617777 C20H30N2O6
hit structure
1:617778 C21H34N2O6
hit structure
1:617779 C31H36N2O6
hit structure

1
  <<    <    >    >>  

entries in data collection: 627830