Home Browse Text SearchFunctional Group SearchStructure SearchPreferences Administration

selected data collection: 1

IRIS SDF: browse content


1
  <<    <    >    >>  

1:617580 C15H32N2O4
hit structure
1:617581 C11H24N2O4
hit structure
1:617582 C7H16N2O2
hit structure
1:617583 C14H22N2O2
hit structure
1:617584 C23H26BrN2O2P
hit structure
1:617585 C9H18N2O2
hit structure
1:617586 C9H18N2O2
hit structure
1:617587 C11H22N2O2
hit structure
1:617588 C15H32N2O5
hit structure
1:617589 C13H26N2O2
hit structure
1:617590 C9H20N2O2
hit structure
1:617591 C10H22N2O2
hit structure
1:617592 C13H26N2O2
hit structure
1:617593 C8H18N2O2
hit structure
1:617594 C9H20N2O2
hit structure
1:617595 C11H22N2O2
hit structure
1:617596 C9H20N2O2S2
hit structure
1:617597 C16H26N2O2
hit structure
1:617598 C13H26N2O2
hit structure
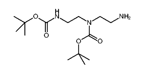
1:617599 C14H29N3O4
hit structure
1:617600 C14H29N3O4
hit structure
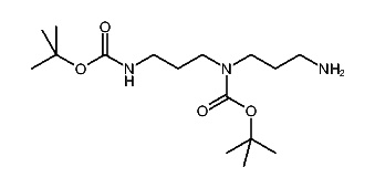
1:617601 C16H33N3O4
hit structure
1:617602 C16H33N3O4
hit structure
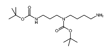
1:617603 C17H35N3O4
hit structure
1:617604 C17H35N3O4
hit structure

1
  <<    <    >    >>  

entries in data collection: 627830