Home Browse Text SearchFunctional Group SearchStructure SearchPreferences Administration

selected data collection: 1

IRIS SDF: browse content


1
  <<    <    >    >>  

1:615205 C24H49N3O11
hit structure
1:615206 C32H65N3O15
hit structure
1:615207 C65H120N4O30S
hit structure
1:615208 C61H117N3O28S
hit structure
1:615209 C112H218N4O53S
hit structure
1:615210 C26H50N4O9S
hit structure
1:615211 C34H66N4O13S
hit structure
1:615212 C58H114N4O25S
hit structure
1:615213 C65H119N5O28S
hit structure
1:615214 C26H48N6O9S
hit structure
1:615215 C34H64N6O13S
hit structure
1:615216 C58H112N6O25S
hit structure
1:615217 C24H29NO7
hit structure
1:615218 C28H37NO9
hit structure
1:615219 C90H161NO40
hit structure
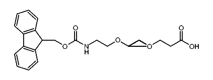
1:615220 C30H36N2O10
hit structure
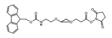
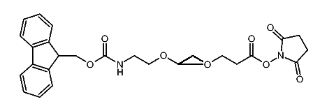
1:615221 C38H52N2O14
hit structure
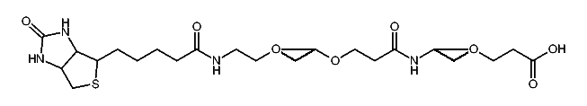
1:615222 C46H68N2O18
hit structure
1:615223 C42H59N5O11S
hit structure
1:615224 C58H91N5O19S
hit structure
1:615225 C56H111NO28
hit structure
1:615226 C80H159NO40
hit structure
1:615227 C83H157NO40
hit structure
1:615228 C47H70O15S
hit structure
1:615229 C39H60N2O19
hit structure

1
  <<    <    >    >>  

entries in data collection: 616570