Home Browse Text SearchFunctional Group SearchStructure SearchPreferences Administration

selected data collection: 1

IRIS SDF: browse content


1
  <<    <    >    >>  

1:615155 C80H155NO41
hit structure
1:615156 C76H152O39
hit structure
1:615157 C102H203NO51
hit structure
1:615158 C47H96O24
hit structure
1:615159 C73H148O37
hit structure
1:615160 C31H65NO15
hit structure
1:615161 C73H149NO36
hit structure
1:615162 C97H197NO48
hit structure
1:615163 C75H151NO38
hit structure
1:615164 C80H154N2O39
hit structure
1:615165 C104H202N2O51
hit structure
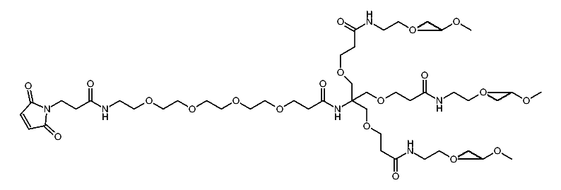
1:615166 C178H346N6O86
hit structure
1:615167 C73H147N3O36
hit structure
1:615168 C27H54O14S
hit structure
1:615169 C9H20O4S
hit structure
1:615170 C17H36O8S
hit structure
1:615171 C25H52O12S
hit structure
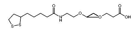
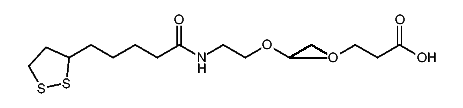
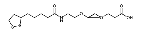
1:615172 C19H35NO7S2
hit structure
1:615173 C27H51NO11S2
hit structure
1:615174 C59H115NO27S2
hit structure
1:615175 C25H41N3O7S2
hit structure
1:615176 C39H69N3O15S2
hit structure
1:615177 C28H50N4O6S3
hit structure
1:615178 C42H78N4O14S3
hit structure
1:615179 C17H33NO5S2
hit structure

1
  <<    <    >    >>  

entries in data collection: 616570