Home Browse Text SearchFunctional Group SearchStructure SearchPreferences Administration

selected data collection: 1

IRIS SDF: browse content


1
  <<    <    >    >>  

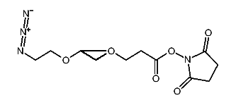
1:614981 C15H24N4O8
hit structure
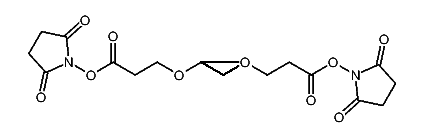
1:614982 C23H40N4O12
hit structure
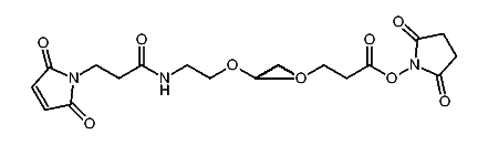
1:614983 C21H39N5O7S
hit structure
1:614984 C14H26O9
hit structure
1:614985 C22H32N2O13
hit structure
1:614986 C30H48N2O17
hit structure
1:614987 C26H38N6O7
hit structure
1:614988 C24H34N4O9
hit structure
1:614989 C19H29NO8
hit structure
1:614990 C34H70N4O13
hit structure
1:614991 C21H37N3O8S
hit structure
1:614992 C15H30O7
hit structure
1:614993 C23H46O11
hit structure
1:614994 C38H63N3O19
hit structure
1:614995 C14H20N2O7
hit structure
1:614996 C18H23N3O9
hit structure
1:614997 C62H111N3O31
hit structure
1:614998 C18H28N2O9
hit structure
1:614999 C22H31N3O11
hit structure
1:615000 C26H39N3O13
hit structure
1:615001 C30H47N3O15
hit structure
1:615002 C41H71N5O16S
hit structure
1:615003 C58H108N2O29
hit structure
1:615004 C27H43N5O8S
hit structure
1:615005 C26H44N2O13
hit structure

1
  <<    <    >    >>  

entries in data collection: 616570