Home Browse Text SearchFunctional Group SearchStructure SearchPreferences Administration

selected data collection: 1

IRIS SDF: browse content


1
  <<    <    >    >>  

1:614589 C31H40N2O9
hit structure
1:614590 C32H42N2O9
hit structure
1:614591 C40H45N3O10
hit structure
1:614592 C37H44N2O9
hit structure
1:614593 C29H36N2O8
hit structure
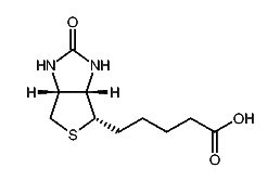
1:614594 C10H16N2O3S
hit structure
1:614595 C7H19N3
hit structure
1:614596 C51H70N10O15S2
hit structure
1:614597 C51H61F9N10O15S2
hit structure
1:614598 C55H72N12O11S3
hit structure
1:614599 C90H106N12O13S3
hit structure
1:614600 C16H28N4O4S
hit structure
1:614601 C46H50N10O9
hit structure
1:614602 C55H65N7O12
hit structure
1:614603 C51H53N7O16
hit structure
1:614604 C48H63N13O10
hit structure
1:614605 C23H34N4O4S3
hit structure
1:614606 C14H20N4O4
hit structure
1:614607 C16H15N5
hit structure
1:614608 C27H38D6O2
hit structure
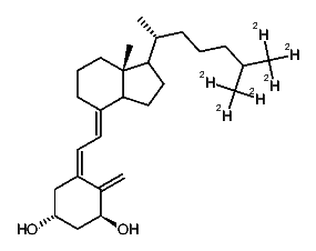
1:614609 C27H40D6O2
hit structure
1:614610 C27H38D6O
hit structure
1:614611 C27H38D6O2
hit structure
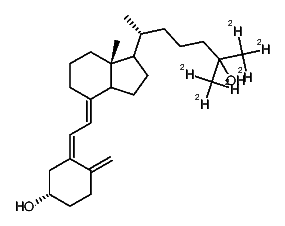
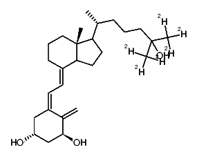
1:614612 C27H38D6O3
hit structure
1:614613 C27H41D3O
hit structure

1
  <<    <    >    >>  

entries in data collection: 616570