Home Browse Text SearchFunctional Group SearchStructure SearchPreferences Administration

selected data collection: 1

IRIS SDF: browse content


1
  <<    <    >    >>  

1:612994 C25H22F2NO7P
hit structure
1:612995 C28H38NO7P
hit structure
1:612996 C24H28N2O6
hit structure
1:612997 C31H27NO4S
hit structure
1:612998 C38H33NO4S
hit structure
1:612999 C27H27NO4S
hit structure
1:613000 C26H20F3N3O4
hit structure
1:613001 C29H38N2O9
hit structure
1:613002 C31H28N2O8
hit structure
1:613003 C32H30N2O8
hit structure
1:613004 C27H26N2O4
hit structure
1:613005 C27H35NO4
hit structure
1:613006 C27H35NO4
hit structure
1:613007 C26H25NO5
hit structure
1:613008 C38H33NO4S
hit structure
1:613009 C30H38N4O8
hit structure
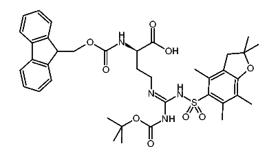
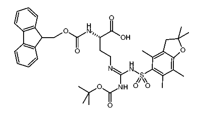
1:613010 C38H46N4O9S
hit structure
1:613011 C30H38N4O8
hit structure
1:613012 C38H46N4O9S
hit structure
1:613013 C28H29NO5
hit structure
1:613014 C25H30N4O7
hit structure
1:613015 C29H36N4O8
hit structure
1:613016 C37H44N4O9S
hit structure
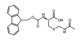
1:613017 C21H22N2O5S
hit structure
1:613018 C37H36N4O8
hit structure

1
  <<    <    >    >>  

entries in data collection: 627830