Home Browse Text SearchFunctional Group SearchStructure SearchPreferences Administration

selected data collection: 1

IRIS SDF: browse content


1
  <<    <    >    >>  

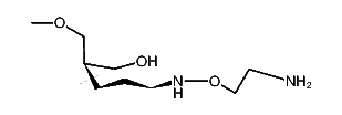
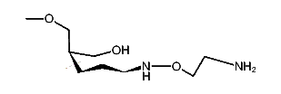
1:612144 C21H34N2O6
hit structure
1:612145 C29H32N2O6
hit structure
1:612146 C28H30N2O6
hit structure
1:612147 C20H30N2O6
hit structure
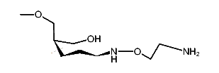
1:612148 C21H34N2O6
hit structure
1:612149 C31H36N2O6
hit structure
1:612150 C16H25NO6
hit structure
1:612151 C31H36N2O6
hit structure
1:612152 C31H36N2O6
hit structure
1:612153 C34H42N2O6
hit structure
1:612154 C15H23NO4S
hit structure
1:612155 C34H42N2O6
hit structure
1:612156 C32H38N2O6
hit structure
1:612157 C11H28N2O3
hit structure
1:612158 C11H28N2O3
hit structure
1:612159 C11H28N2O3
hit structure
1:612160 C11H28N2O3
hit structure
1:612161 C11H28N2O3
hit structure
1:612162 C11H28N2O3
hit structure
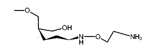
1:612163 C11H25NO5
hit structure
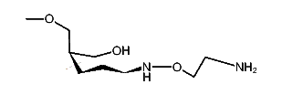
1:612164 C11H25NO5
hit structure
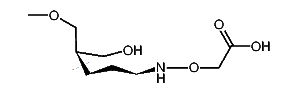
1:612165 C11H25NO5
hit structure
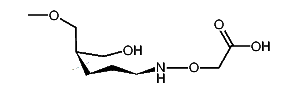
1:612166 C11H25NO5
hit structure
1:612167 C11H25NO5
hit structure
1:612168 C11H25NO5
hit structure

1
  <<    <    >    >>  

entries in data collection: 616570