Home Browse Text SearchFunctional Group SearchStructure SearchPreferences Administration

selected data collection: 1

IRIS SDF: browse content


1
  <<    <    >    >>  

1:611969 C14H29N3O4
hit structure
1:611970 C14H29N3O4
hit structure
1:611971 C16H33N3O4
hit structure
1:611972 C16H33N3O4
hit structure
1:611973 C17H35N3O4
hit structure
1:611974 C17H35N3O4
hit structure
1:611975 C10H22N4O3
hit structure
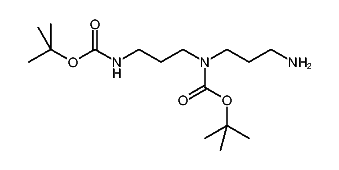
1:611976 C24H50N4O4
hit structure
1:611977 C9H20N2O2S2
hit structure
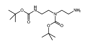
1:611978 C13H28N2O2
hit structure
1:611979 C14H30N2O2
hit structure
1:611980 C15H32N2O2
hit structure
1:611981 C16H34N2O2
hit structure
1:611982 C17H36N2O2
hit structure
1:611983 C14H27N3O4
hit structure
1:611984 C9H19N3O2
hit structure
1:611985 C9H18N2O3
hit structure
1:611986 C23H47N5O6
hit structure
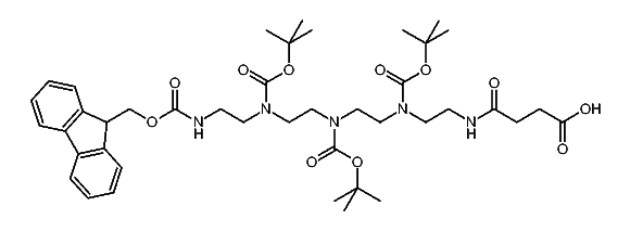
1:611987 C42H61N5O11
hit structure
1:611988 C13H22N2O4S2
hit structure
1:611989 C9H21N3O2
hit structure
1:611990 C16H33N3O4
hit structure
1:611991 C9H21N3O2
hit structure
1:611992 C14H28N2O4S2
hit structure
1:611993 C6H10N4O3
hit structure

1
  <<    <    >    >>  

entries in data collection: 616570