Home Browse Text SearchFunctional Group SearchStructure SearchPreferences Administration

selected data collection: 1

IRIS SDF: browse content


1
  <<    <    >    >>  

1:611869 C12H16N2O6
hit structure
1:611870 C13H18N2O6
hit structure
1:611871 C13H24N2O8
hit structure
1:611872 C18H32N2O8Se2
hit structure
1:611873 C27H34N2O6
hit structure
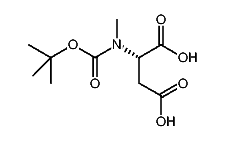
1:611874 C14H16N2O6
hit structure
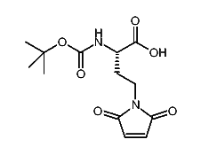
1:611875 C14H17NO4
hit structure
1:611876 C27H40N4O7S
hit structure
1:611877 C27H43N7O7S
hit structure
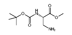
1:611878 C10H19NO4
hit structure
1:611879 C9H16N2O5
hit structure
1:611880 C10H17NO6
hit structure
1:611881 C27H22N2O4
hit structure
1:611882 C10H17NO5
hit structure
1:611883 C18H27NO5S
hit structure
1:611884 C11H19N3O6
hit structure
1:611885 C11H16N2O4S
hit structure
1:611886 C11H16N2O4S
hit structure
1:611887 C14H19NO4
hit structure
1:611888 C24H23NO4
hit structure
1:611889 C19H23NO4
hit structure
1:611890 C30H32N2O6
hit structure
1:611891 C12H24N2O4
hit structure
1:611892 C9H18N2O4
hit structure
1:611893 C13H23NO6
hit structure

1
  <<    <    >    >>  

entries in data collection: 616570