Home Browse Text SearchFunctional Group SearchStructure SearchPreferences Administration

selected data collection: 1

IRIS SDF: browse content


1
  <<    <    >    >>  

1:610387 C19H21N3O10
hit structure
1:610388 C9H10O3S
hit structure
1:610389 C26H38N4O7S
hit structure
1:610390 C16H22N4O5
hit structure
1:610391 C19H25NO6
hit structure
1:610392 C10H15N3O2
hit structure
1:610393 C13H28BrN5O4
hit structure
1:610394 C31H26N2O7S2
hit structure
1:610395 C35H29N3O7S2
hit structure
1:610396 C30H27N3O7S2
hit structure
1:610397 C30H57N3O13
hit structure
1:610398 C50H61N3O13
hit structure
1:610399 C13H26N2O5
hit structure
1:610400 C28H31NO5S
hit structure
1:610401 C13H8O3
hit structure
1:610402 C8H5N3S
hit structure
1:610403 C6H3Br2NO4
hit structure
1:610404 C8H8Br2N2O4
hit structure
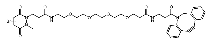
1:610405 C37H43Br2N5O9
hit structure
1:610406 C6H4BrNO4
hit structure
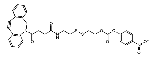
1:610407 C35H39BrN4O9
hit structure
1:610408 C9H13BrN2O4
hit structure
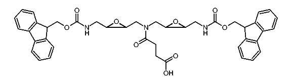
1:610409 C38H48BrN5O9
hit structure
1:610410 C32H36N2O8
hit structure
1:610411 C23H20N2O2
hit structure

1
  <<    <    >    >>  

entries in data collection: 610940