Home Browse Text SearchFunctional Group SearchStructure SearchPreferences Administration

selected data collection: 1

IRIS SDF: browse content


1
  <<    <    >    >>  

1:610295 C22H26F5N3O4S
hit structure
1:610296 C8H10S2
hit structure
1:610297 C15H16N2O3S2
hit structure
1:610298 C10H12O5S
hit structure
1:610299 C26H27F4N4NaO10S
hit structure
1:610300 C7H14N2
hit structure
1:610301 C15H12N5NaO7S
hit structure
1:610302 C20H18N2O3S2
hit structure
1:610303 C18H18N6O2
hit structure
1:610304 C27H36N6O7
hit structure
1:610305 C10H10N2O3
hit structure
1:610306 C19H23N9O2
hit structure
1:610307 C24H33N9O6
hit structure
1:610308 C12H21N5O4
hit structure
1:610309 C20H19N7O4
hit structure
1:610310 C31H40N8O9
hit structure
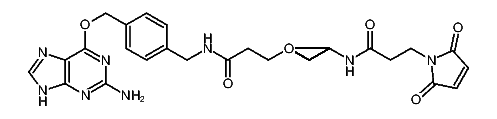
1:610311 C21H21N7O2S2
hit structure
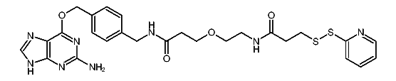
1:610312 C26H30N8O4S2
hit structure
1:610313 C34H31N7O3
hit structure
1:610314 C24H22N2O2
hit structure
1:610315 C23H21F9N4O4S
hit structure
1:610316 C21H16F9NO5S
hit structure
1:610317 C35H41F9N4O6S2
hit structure
1:610318 C16H30N4O4S
hit structure
1:610319 C7H7N3O
hit structure

1
  <<    <    >    >>  

entries in data collection: 610940