Home Browse Text SearchFunctional Group SearchStructure SearchPreferences Administration

selected data collection: 1

IRIS SDF: browse content


1
  <<    <    >    >>  

1:609798 C19H24BrF4NO7
hit structure
1:609799 C35H56BrF4NO15
hit structure
1:609800 C59H104BrF4NO27
hit structure
1:609801 C44H70N4O18
hit structure
1:609802 C57H101F4N3O26
hit structure
1:609803 C81H149F4N3O38
hit structure
1:609804 C140H246N12O64
hit structure
1:609805 C120H230Br4N8O56
hit structure
1:609806 C53H108N2O25
hit structure
1:609807 C26H45NO15
hit structure
1:609808 C58H109NO31
hit structure
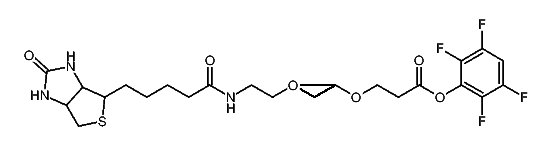
1:609809 C67H117F4N3O28S
hit structure
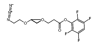
1:609810 C31H44F4N4O9S
hit structure
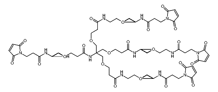
1:609811 C47H76F4N4O17S
hit structure
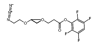
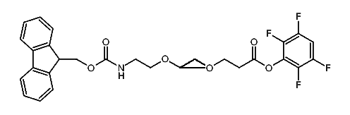
1:609812 C32H33F4NO8
hit structure
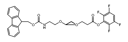
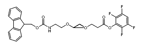
1:609813 C40H49F4NO12
hit structure
1:609814 C48H65F4NO16
hit structure
1:609815 C72H113F4NO28
hit structure
1:609816 C96H161F4NO40
hit structure
1:609817 C18H35NO8
hit structure
1:609818 C13H28N2O5
hit structure
1:609819 C15H32N2O6
hit structure
1:609820 C72H132N2O34S2
hit structure
1:609821 C9H20N2O3
hit structure
1:609822 C6H13NO4
hit structure

1
  <<    <    >    >>  

entries in data collection: 962820