Home Browse Text SearchFunctional Group SearchStructure SearchPreferences Administration

selected data collection: 1

IRIS SDF: browse content


1
  <<    <    >    >>  

1:609724 C33H45N3O12
hit structure
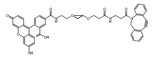
1:609725 C66H79N3O20
hit structure
1:609726 C13H28N2O5
hit structure
1:609727 C75H141N2O26P
hit structure
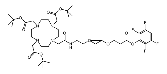
1:609728 C45H73F4N5O13
hit structure
1:609729 C69H136NO22P
hit structure
1:609730 C61H105F4N5O21
hit structure
1:609731 C108H203F4NO51
hit structure
1:609732 C85H153F4N5O33
hit structure
1:609733 C53H105NO27
hit structure
1:609734 C33H49F4N5O13
hit structure
1:609735 C59H105F4NO27
hit structure
1:609736 C49H81F4N5O21
hit structure
1:609737 C24H50N4O12
hit structure
1:609738 C73H129F4N5O33
hit structure
1:609739 C28H36F4N2O11
hit structure
1:609740 C59H107N7O21
hit structure
1:609741 C17H21F4N3O6
hit structure
1:609742 C33H53F4N3O14
hit structure
1:609743 C47H83N7O21
hit structure
1:609744 C86H159N3O43
hit structure
1:609745 C71H131N7O33
hit structure
1:609746 C28H56O15
hit structure
1:609747 C32H59NO17
hit structure
1:609748 C34H56F4O15
hit structure

1
  <<    <    >    >>  

entries in data collection: 610940