Home Browse Text SearchFunctional Group SearchStructure SearchPreferences Administration

selected data collection: 1

IRIS SDF: browse content


1
  <<    <    >    >>  

1:609563 C26H40N2O15
hit structure
1:609564 C38H64N2O21
hit structure
1:609565 C46H80N2O25
hit structure
1:609566 C54H96N2O29
hit structure
1:609567 C62H112N2O33
hit structure
1:609568 C24H22F8O8
hit structure
1:609569 C66H106F8O29
hit structure
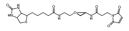
1:609570 C16H20N2O10
hit structure
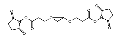
1:609571 C18H24N2O11
hit structure
1:609572 C19H37N3O10
hit structure
1:609573 C27H53N3O14
hit structure
1:609574 C51H101N3O26
hit structure
1:609575 C24H49N3O11
hit structure
1:609576 C32H65N3O15
hit structure
1:609577 C65H120N4O30S
hit structure
1:609578 C61H117N3O28S
hit structure
1:609579 C112H218N4O53S
hit structure
1:609580 C26H50N4O9S
hit structure
1:609581 C34H66N4O13S
hit structure
1:609582 C58H114N4O25S
hit structure
1:609583 C65H119N5O28S
hit structure
1:609584 C26H48N6O9S
hit structure
1:609585 C34H64N6O13S
hit structure
1:609586 C58H112N6O25S
hit structure
1:609587 C24H29NO7
hit structure

1
  <<    <    >    >>  

entries in data collection: 610940