Home Browse Text SearchFunctional Group SearchStructure SearchPreferences Administration

selected data collection: 1

IRIS SDF: browse content


1
  <<    <    >    >>  

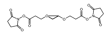
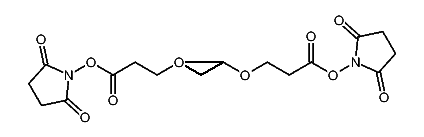
1:609542 C19H35NO7S2
hit structure
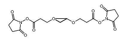
1:609543 C27H51NO11S2
hit structure
1:609544 C59H115NO27S2
hit structure
1:609545 C25H41N3O7S2
hit structure
1:609546 C39H69N3O15S2
hit structure
1:609547 C28H50N4O6S3
hit structure
1:609548 C42H78N4O14S3
hit structure
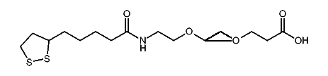
1:609549 C17H33NO5S2
hit structure
1:609550 C25H49NO9S2
hit structure
1:609551 C33H65NO13S2
hit structure
1:609552 C57H113NO25S2
hit structure
1:609553 C33H59NO17S
hit structure
1:609554 C79H159NO38
hit structure
1:609555 C48H99NO24
hit structure
1:609556 C72H147NO36
hit structure
1:609557 C8H17N3O4
hit structure
1:609558 C48H97N3O24
hit structure
1:609559 C72H145N3O36
hit structure
1:609560 C26H52O13S
hit structure
1:609561 C22H36N2O11
hit structure
1:609562 C87H161N3O41S2
hit structure
1:609563 C26H40N2O15
hit structure
1:609564 C38H64N2O21
hit structure
1:609565 C46H80N2O25
hit structure
1:609566 C54H96N2O29
hit structure

1
  <<    <    >    >>  

entries in data collection: 610940