Home Browse Text SearchFunctional Group SearchStructure SearchPreferences Administration

selected data collection: 1

IRIS SDF: browse content


1
  <<    <    >    >>  

1:609363 C23H46O11
hit structure
1:609364 C38H63N3O19
hit structure
1:609365 C14H20N2O7
hit structure
1:609366 C18H23N3O9
hit structure
1:609367 C62H111N3O31
hit structure
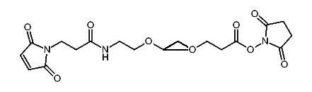
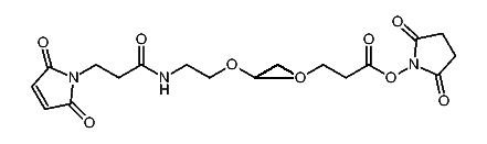
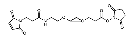
1:609368 C18H28N2O9
hit structure
1:609369 C22H31N3O11
hit structure
1:609370 C26H39N3O13
hit structure
1:609371 C30H47N3O15
hit structure
1:609372 C41H71N5O16S
hit structure
1:609373 C58H108N2O29
hit structure
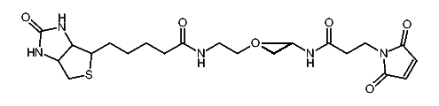
1:609374 C27H43N5O8S
hit structure
1:609375 C26H44N2O13
hit structure
1:609376 C10H20O6
hit structure
1:609377 C18H36O10
hit structure
1:609378 C6H12O4
hit structure
1:609379 C52H104O27
hit structure
1:609380 C25H53NO12
hit structure
1:609381 C25H51N3O12
hit structure
1:609382 C32H58N2O15
hit structure
1:609383 C49H101NO24
hit structure
1:609384 C56H106N2O27
hit structure
1:609385 C9H21NO4
hit structure
1:609386 C9H19N3O4
hit structure
1:609387 C17H37NO8
hit structure

1
  <<    <    >    >>  

entries in data collection: 610940