Home Browse Text SearchFunctional Group SearchStructure SearchPreferences Administration

selected data collection: 1

IRIS SDF: browse content


1
  <<    <    >    >>  

1:609238 C6H14O2S2
hit structure
1:609239 C6H14O2S2
hit structure
1:609240 C6H14O2S2
hit structure
1:609241 C14H16N2O6
hit structure
1:609242 C14H16N2O6
hit structure
1:609243 C14H16N2O6
hit structure
1:609244 C14H16N2O6
hit structure
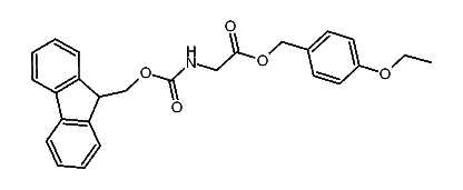
1:609245 C34H38N2O7S
hit structure
1:609246 C34H38N2O7S
hit structure
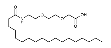
1:609247 C24H47NO5
hit structure
1:609248 C16H36N2O7
hit structure
1:609249 C70H127N3O35
hit structure
1:609250 C74H129NO32
hit structure
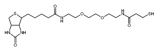
1:609251 C19H34N4O5S2
hit structure
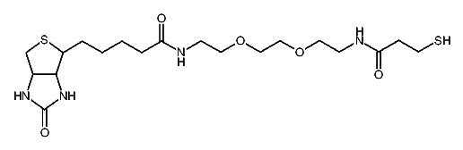
1:609252 C19H34N4O5S2
hit structure
1:609253 C19H34N4O5S2
hit structure
1:609254 C7H15N3O3
hit structure
1:609255 C12H24N2O7
hit structure
1:609256 C54H48N2O6
hit structure
1:609257 C39H41NO7
hit structure
1:609258 C26H25NO5
hit structure
1:609259 C55H47N3O5
hit structure
1:609260 C36H37NO5
hit structure
1:609261 C36H37NO5
hit structure
1:609262 C41H46N2O7
hit structure

1
  <<    <    >    >>  

entries in data collection: 610940