Home Browse Text SearchFunctional Group SearchStructure SearchPreferences Administration

selected data collection: 1

IRIS SDF: browse content


1
  <<    <    >    >>  

1:608816 C11H18N2O3
hit structure
1:608817 C9H15N3O2
hit structure
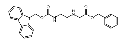
1:608818 C26H26N2O4
hit structure
1:608819 C12H26N2O4Si
hit structure
1:608820 C10H12N2O4Se
hit structure
1:608821 C12H13N5O2
hit structure
1:608822 C11H14N2O4Se
hit structure
1:608823 C14H16N8O2
hit structure
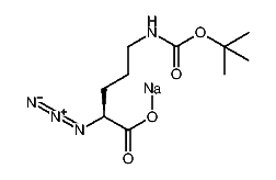
1:608824 C10H17N4NaO4
hit structure
1:608825 C12H13N5O2
hit structure
1:608826 C10H17KN4O4
hit structure
1:608827 C15H19N5O2
hit structure
1:608828 C14H17N5O2
hit structure
1:608829 C20H32N4O5S
hit structure
1:608830 C11H23N3O3
hit structure
1:608831 C10H19NO2
hit structure
1:608832 C22H26N2O4
hit structure
1:608833 C20H32N4O5S
hit structure
1:608834 C7H16N2O2
hit structure
1:608835 C6H12N2O3
hit structure
1:608836 C15H16N2O2
hit structure
1:608837 C9H18N2O3
hit structure
1:608838 C10H13NO2
hit structure
1:608839 C9H18N2O3
hit structure
1:608840 C13H14N2O
hit structure

1
  <<    <    >    >>  

entries in data collection: 610940