Home Browse Text SearchFunctional Group SearchStructure SearchPreferences Administration

selected data collection: 1

IRIS SDF: browse content


1
  <<    <    >    >>  

1:605626 C16H30N2O6
hit structure
1:605627 C26H32N2O6
hit structure
1:605628 C11H22N2O4
hit structure
1:605629 C9H17NO4
hit structure
1:605630 C15H21NO4
hit structure
1:605631 C11H21NO4
hit structure
1:605632 C14H18ClNO4
hit structure
1:605633 C14H18ClNO4
hit structure
1:605634 C14H19NO4
hit structure
1:605635 C13H17NO4
hit structure
1:605636 C11H19NO4
hit structure
1:605637 C10H17NO4
hit structure
1:605638 C15H21NO5
hit structure
1:605639 C8H15NO5
hit structure
1:605640 C15H19NO4
hit structure
1:605641 C16H20N2O4
hit structure
1:605642 C22H24BrNO7
hit structure
1:605643 C17H23NO5
hit structure
1:605644 C10H19NO4
hit structure
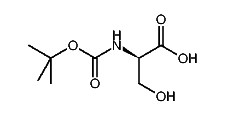
1:605645 C7H13NO4
hit structure
1:605646 C11H19NO4
hit structure
1:605647 C13H18N2O4
hit structure
1:605648 C8H15NO4
hit structure
1:605649 C11H21N5O6
hit structure
1:605650 C24H38N4O7S
hit structure

1
  <<    <    >    >>  

entries in data collection: 610940