Home Browse Text SearchFunctional Group SearchStructure SearchPreferences Administration

selected data collection: 1

IRIS SDF: browse content


1
  <<    <    >    >>  

1:605451 C35H41N7O11
hit structure
1:605452 C22H32N8O5
hit structure
1:605453 C29H35N9O9
hit structure
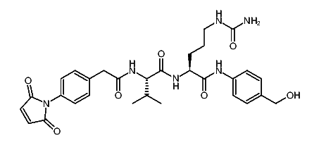
1:605454 C22H29N5O5
hit structure
1:605455 C29H32N6O9
hit structure
1:605456 C37H40N6O6
hit structure
1:605457 C44H43N7O10
hit structure
1:605458 C25H32N4O6
hit structure
1:605459 C32H35N5O10
hit structure
1:605460 C19H26N6O4
hit structure
1:605461 C26H29N7O8
hit structure
1:605462 C19H23N3O4
hit structure
1:605463 C26H26N4O8
hit structure
1:605464 C34H34N4O5
hit structure
1:605465 C41H37N5O9
hit structure
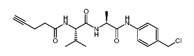
1:605466 C20H30ClN3O4
hit structure
1:605467 C30H32ClN3O4
hit structure
1:605468 C21H31ClN6O3
hit structure
1:605469 C20H26ClN3O3
hit structure
1:605470 C25H33ClN4O5
hit structure
1:605471 C20H29ClN6O4
hit structure
1:605472 C23H32ClN3O5
hit structure
1:605473 C27H30N4O6
hit structure
1:605474 C34H33N5O10
hit structure
1:605475 C30H36N6O7
hit structure

1
  <<    <    >    >>  

entries in data collection: 610940