Home Browse Text SearchFunctional Group SearchStructure SearchPreferences Administration

selected data collection: 1

IRIS SDF: browse content


1
  <<    <    >    >>  

1:604148 C57H102F4O27
hit structure
1:604149 C94H149N5O39
hit structure
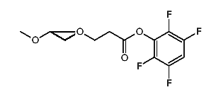
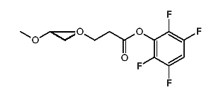
1:604150 C32H52F4O14
hit structure
1:604151 C56H100F4O26
hit structure
1:604152 C58H104F4O27
hit structure
1:604153 C68H114N2O26
hit structure
1:604154 C45H68N2O14
hit structure
1:604155 C25H35F4NO7S2
hit structure
1:604156 C33H51F4NO11S2
hit structure
1:604157 C41H67F4NO15S2
hit structure
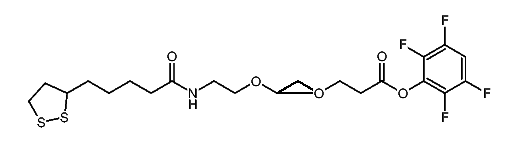
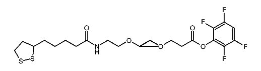
1:604158 C65H115F4NO27S2
hit structure
1:604159 C89H163F4NO39S2
hit structure
1:604160 C66H126N4O26S3
hit structure
1:604161 C20H20F4N2O7
hit structure
1:604162 C24H28F4N2O9
hit structure
1:604163 C32H44F4N2O13
hit structure
1:604164 C40H60F4N2O17
hit structure
1:604165 C64H108F4N2O29
hit structure
1:604166 C88H156F4N2O41
hit structure
1:604167 C115H209F4N3O54
hit structure
1:604168 C19H24BrF4NO7
hit structure
1:604169 C35H56BrF4NO15
hit structure
1:604170 C59H104BrF4NO27
hit structure
1:604171 C44H70N4O18
hit structure
1:604172 C57H101F4N3O26
hit structure

1
  <<    <    >    >>  

entries in data collection: 1048230