Home Browse Text SearchFunctional Group SearchStructure SearchPreferences Administration

selected data collection: 1

IRIS SDF: browse content


1
  <<    <    >    >>  

1:604098 C45H73F4N5O13
hit structure
1:604099 C69H136NO22P
hit structure
1:604100 C61H105F4N5O21
hit structure
1:604101 C108H203F4NO51
hit structure
1:604102 C85H153F4N5O33
hit structure
1:604103 C53H105NO27
hit structure
1:604104 C33H49F4N5O13
hit structure
1:604105 C59H105F4NO27
hit structure
1:604106 C49H81F4N5O21
hit structure
1:604107 C24H50N4O12
hit structure
1:604108 C73H129F4N5O33
hit structure
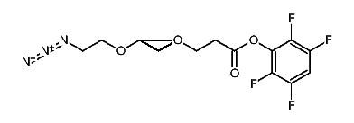
1:604109 C28H36F4N2O11
hit structure
1:604110 C59H107N7O21
hit structure
1:604111 C17H21F4N3O6
hit structure
1:604112 C33H53F4N3O14
hit structure
1:604113 C47H83N7O21
hit structure
1:604114 C86H159N3O43
hit structure
1:604115 C71H131N7O33
hit structure
1:604116 C28H56O15
hit structure
1:604117 C32H59NO17
hit structure
1:604118 C34H56F4O15
hit structure
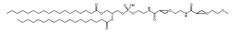
1:604119 C150H289N4O61P
hit structure
1:604120 C30H49BrF6N6O15
hit structure
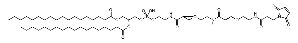
1:604121 C118H233N2O46P
hit structure
1:604122 C42H79BrN6O19
hit structure

1
  <<    <    >    >>  

entries in data collection: 1048230