Home Browse Text SearchFunctional Group SearchStructure SearchPreferences Administration

selected data collection: 1

IRIS SDF: browse content


1
  <<    <    >    >>  

1:603956 C58H112N6O25S
hit structure
1:603957 C24H29NO7
hit structure
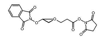
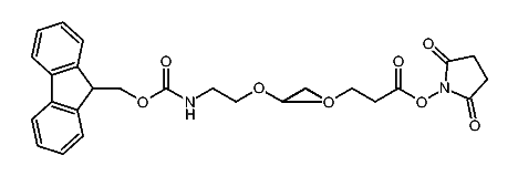
1:603958 C28H37NO9
hit structure
1:603959 C90H161NO40
hit structure
1:603960 C30H36N2O10
hit structure
1:603961 C38H52N2O14
hit structure
1:603962 C46H68N2O18
hit structure
1:603963 C42H59N5O11S
hit structure
1:603964 C58H91N5O19S
hit structure
1:603965 C56H111NO28
hit structure
1:603966 C80H159NO40
hit structure
1:603967 C83H157NO40
hit structure
1:603968 C47H70O15S
hit structure
1:603969 C39H60N2O19
hit structure
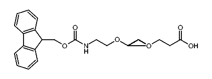
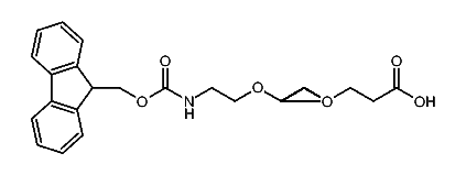
1:603970 C26H29NO4
hit structure
1:603971 C29H60N2O14
hit structure
1:603972 C34H66N4O14S
hit structure
1:603973 C41H59F4NO16
hit structure
1:603974 C65H107F4NO28
hit structure
1:603975 C34H65N3O13S2
hit structure
1:603976 C12H15NO5
hit structure
1:603977 C16H20N2O2S4
hit structure
1:603978 C16H20N2O2S4
hit structure
1:603979 C16H20N2O2S4
hit structure
1:603980 C16H20N2O2S4
hit structure

1
  <<    <    >    >>  

entries in data collection: 605310