Home Browse Text SearchFunctional Group SearchStructure SearchPreferences Administration

selected data collection: 1

IRIS SDF: browse content


1
  <<    <    >    >>  

1:603720 C31H56N4O16
hit structure
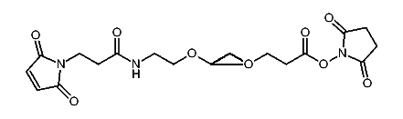
1:603721 C15H24N4O8
hit structure
1:603722 C23H40N4O12
hit structure
1:603723 C21H39N5O7S
hit structure
1:603724 C14H26O9
hit structure
1:603725 C22H32N2O13
hit structure
1:603726 C30H48N2O17
hit structure
1:603727 C26H38N6O7
hit structure
1:603728 C24H34N4O9
hit structure
1:603729 C19H29NO8
hit structure
1:603730 C34H70N4O13
hit structure
1:603731 C21H37N3O8S
hit structure
1:603732 C15H30O7
hit structure
1:603733 C23H46O11
hit structure
1:603734 C38H63N3O19
hit structure
1:603735 C14H20N2O7
hit structure
1:603736 C18H23N3O9
hit structure
1:603737 C62H111N3O31
hit structure
1:603738 C18H28N2O9
hit structure
1:603739 C22H31N3O11
hit structure
1:603740 C26H39N3O13
hit structure
1:603741 C30H47N3O15
hit structure
1:603742 C41H71N5O16S
hit structure
1:603743 C58H108N2O29
hit structure
1:603744 C27H43N5O8S
hit structure

1
  <<    <    >    >>  

entries in data collection: 605310