Home Browse Text SearchFunctional Group SearchStructure SearchPreferences Administration

selected data collection: 1

IRIS SDF: browse content


1
  <<    <    >    >>  

1:603344 C48H63N13O10
hit structure
1:603345 C23H34N4O4S3
hit structure
1:603346 C14H20N4O4
hit structure
1:603347 C16H15N5
hit structure
1:603348 C27H38D6O2
hit structure
1:603349 C27H40D6O2
hit structure
1:603350 C27H38D6O
hit structure
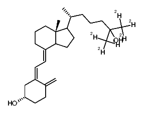
1:603351 C27H38D6O2
hit structure
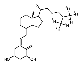
1:603352 C27H38D6O3
hit structure
1:603353 C27H41D3O
hit structure
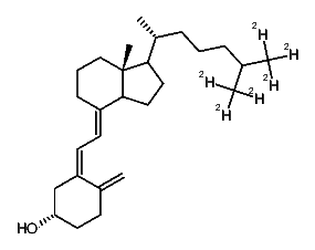
1:603354 C27H38D6O
hit structure
1:603355 C27H40D6O
hit structure
1:603356 C28H38D6O2
hit structure
1:603357 C28H38D6O2
hit structure
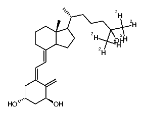
1:603358 C28H38D6O3
hit structure
1:603359 C28H41D3O
hit structure
1:603360 C28H38D6O
hit structure
1:603361 C29H47D3O2
hit structure
1:603362 C29H44D6O2
hit structure
1:603363 C31H46D6O3
hit structure
1:603364 C29H41D9O2
hit structure
1:603365 C31H43D9O3
hit structure
1:603366 C16H25ClN2O4
hit structure
1:603367 C15H27N5O5
hit structure
1:603368 C40H78N12O12S
hit structure

1
  <<    <    >    >>  

entries in data collection: 605310