Home Browse Text SearchFunctional Group SearchStructure SearchPreferences Administration

selected data collection: 1

IRIS SDF: browse content


1
  <<    <    >    >>  

1:602460 C9H18O5S
hit structure
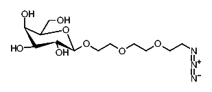
1:602461 C14H26N4O8
hit structure
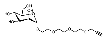
1:602462 C17H29NO9
hit structure
1:602463 C12H23N3O8
hit structure
1:602464 C15H26O9
hit structure
1:602465 C12H23N3O8
hit structure
1:602466 C15H26O9
hit structure
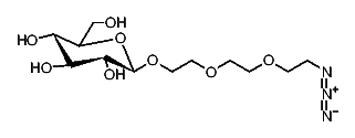
1:602467 C14H26N4O8
hit structure
1:602468 C17H29NO9
hit structure
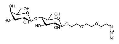
1:602469 C18H33N3O13
hit structure
1:602470 C21H36O14
hit structure
1:602471 C12H23N3O8
hit structure
1:602472 C15H26O9
hit structure
1:602473 C8H15N3O6
hit structure
1:602474 C8H15N3O6
hit structure
1:602475 C8H15N3O6
hit structure
1:602476 C10H18N4O6
hit structure
1:602477 C14H25N3O11
hit structure
1:602478 C15H28O11
hit structure
1:602479 C17H31NO11
hit structure
1:602480 C17H31NO11
hit structure
1:602481 C15H28O11
hit structure
1:602482 C11H20O8
hit structure
1:602483 C11H20O8
hit structure
1:602484 C13H23NO8
hit structure

1
  <<    <    >    >>  

entries in data collection: 605310