Home Browse Text SearchFunctional Group SearchStructure SearchPreferences Administration

selected data collection: 1

IRIS SDF: browse content


1
  <<    <    >    >>  

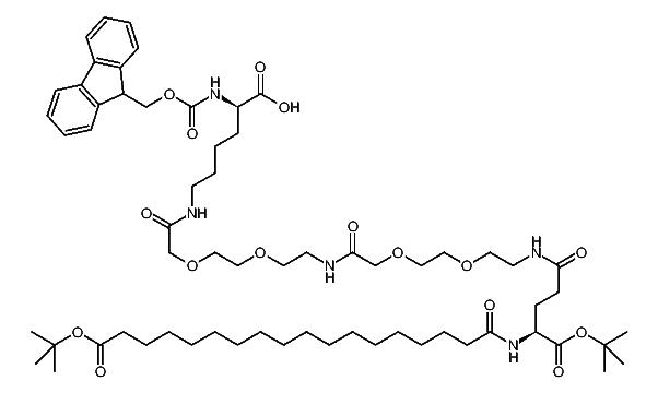
1:602310 C64H101N5O16
hit structure
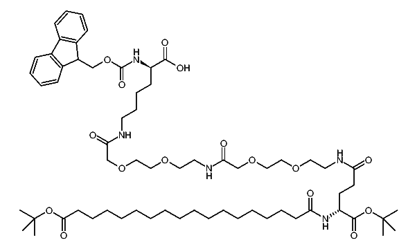
1:602311 C64H101N5O16
hit structure
1:602312 C64H101N5O16
hit structure
1:602313 C22H21NO4S
hit structure
1:602314 C25H28N2O6
hit structure
1:602315 C24H24N2O6
hit structure
1:602316 C28H36N2O6
hit structure
1:602317 C39H34N2O5
hit structure
1:602318 C22H23NO4
hit structure
1:602319 C28H34N2O7
hit structure
1:602320 C29H36N2O7
hit structure
1:602321 C30H38N2O7
hit structure
1:602322 C26H30N2O6
hit structure
1:602323 C23H26N4O4
hit structure
1:602324 C31H31N3O10
hit structure
1:602325 C24H23N3O4
hit structure
1:602326 C24H19N5O7
hit structure
1:602327 C27H25N5O7
hit structure
1:602328 C28H25N3O6
hit structure
1:602329 C32H27N3O6
hit structure
1:602330 C35H34N2O7
hit structure
1:602331 C22H27NO4
hit structure
1:602332 C28H31NO4
hit structure
1:602333 C20H19NO5
hit structure
1:602334 C25H21NO5
hit structure

1
  <<    <    >    >>  

entries in data collection: 605310