Home Browse Text SearchFunctional Group SearchStructure SearchPreferences Administration

selected data collection: 1

IRIS SDF: browse content


1
  <<    <    >    >>  

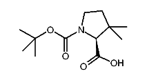
1:600332 C12H21NO4
hit structure
1:600333 C21H25NO5
hit structure
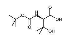
1:600334 C9H15NO4
hit structure
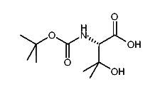
1:600335 C9H15NO4
hit structure
1:600336 C17H25N3O8S
hit structure
1:600337 C11H21NO5
hit structure
1:600338 C10H19NO5
hit structure
1:600339 C10H19NO5
hit structure
1:600340 C12H21NO4
hit structure
1:600341 C12H21NO4
hit structure
1:600342 C16H23NO4
hit structure
1:600343 C9H14F3NO4
hit structure
1:600344 C9H14F3NO4
hit structure
1:600345 C8H12F2KNO4
hit structure
1:600346 C11H16F3NO4
hit structure
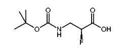
1:600347 C10H16FNO4
hit structure
1:600348 C10H16FNO4
hit structure
1:600349 C10H15F2NO4
hit structure
1:600350 C26H30N2O6
hit structure
1:600351 C24H28N2O6
hit structure
1:600352 C14H17F2NO4
hit structure
1:600353 C8H14FNO4
hit structure
1:600354 C8H14FNO4
hit structure
1:600355 C28H36F2N2O8
hit structure
1:600356 C20H21F2NO4
hit structure

1
  <<    <    >    >>  

entries in data collection: 605310