Home Browse Text SearchFunctional Group SearchStructure SearchPreferences Administration

selected data collection: 1

IRIS SDF: browse content


1
  <<    <    >    >>  

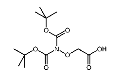
1:600232 C19H27N3O6
hit structure
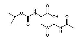
1:600233 C11H20N2O6S
hit structure
1:600234 C16H18F3N3O4
hit structure
1:600235 C25H24N2O5
hit structure
1:600236 C21H22N2O5
hit structure
1:600237 C17H33NO4
hit structure
1:600238 C29H40N4O7S
hit structure
1:600239 C20H23N3O4
hit structure
1:600240 C14H17Cl2NO5
hit structure
1:600241 C16H31NO4
hit structure
1:600242 C17H33NO4
hit structure
1:600243 C25H28N2O6
hit structure
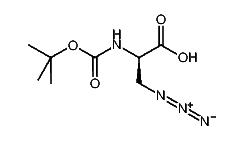
1:600244 C9H16N4O4
hit structure
1:600245 C9H16N4O4
hit structure
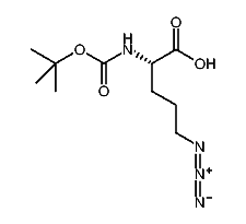
1:600246 C11H20N4O4
hit structure
1:600247 C11H20N4O4
hit structure
1:600248 C8H14N4O4
hit structure
1:600249 C8H14N4O4
hit structure
1:600250 C10H18N4O4
hit structure
1:600251 C10H18N4O4
hit structure
1:600252 C12H21NO7
hit structure
1:600253 C13H18N2O4
hit structure
1:600254 C14H18N4O4
hit structure
1:600255 C14H18N4O4
hit structure
1:600256 C13H17N3O6S2
hit structure

1
  <<    <    >    >>  

entries in data collection: 605310