Home Browse Text SearchFunctional Group SearchStructure SearchPreferences Administration

selected data collection: 1

IRIS SDF: browse content


1
  <<    <    >    >>  

1:600157 C14H17Cl2NO4
hit structure
1:600158 C14H17F2NO4
hit structure
1:600159 C14H18FNO4
hit structure
1:600160 C14H18INO4
hit structure
1:600161 C14H18BrNO4
hit structure
1:600162 C14H18FNO4
hit structure
1:600163 C15H21NO4
hit structure
1:600164 C14H20N2O4
hit structure
1:600165 C29H30N2O6
hit structure
1:600166 C14H18N2O6
hit structure
1:600167 C14H14F5NO4
hit structure
1:600168 C10H15NO4
hit structure
1:600169 C16H23NO5
hit structure
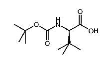
1:600170 C11H21NO4
hit structure
1:600171 C21H23Cl2NO5
hit structure
1:600172 C21H25NO5
hit structure
1:600173 C18H21NO4
hit structure
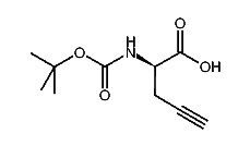
1:600174 C9H17NO4
hit structure
1:600175 C16H21NO4
hit structure
1:600176 C18H21NO4
hit structure
1:600177 C13H18N2O4
hit structure
1:600178 C21H34N4O7S
hit structure
1:600179 C16H21NO6
hit structure
1:600180 C21H23NO5
hit structure
1:600181 C14H25NO4
hit structure

1
  <<    <    >    >>  

entries in data collection: 605310