Home Browse Text SearchFunctional Group SearchStructure SearchPreferences Administration

selected data collection: 1

IRIS SDF: browse content


1
  <<    <    >    >>  

1:599256 C49H46N2O6
hit structure
1:599257 C41H38N2O5
hit structure
1:599258 C52H47N3O7
hit structure
1:599259 C27H29NO5
hit structure
1:599260 C43H52N4O8S
hit structure
1:599261 C44H54N4O8S
hit structure
1:599262 C47H44N2O6
hit structure
1:599263 C32H37NO7
hit structure
1:599264 C46H43NO5S
hit structure
1:599265 C30H34N2O6S
hit structure
1:599266 C31H37NO5S
hit structure
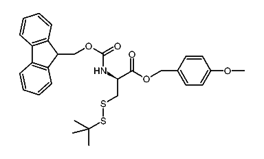
1:599267 C31H37NO5S2
hit structure
1:599268 C48H46N2O6
hit structure
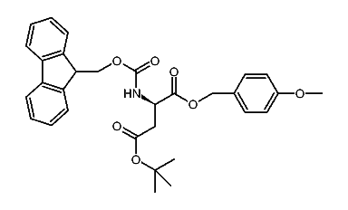
1:599269 C33H39NO7
hit structure
1:599270 C49H45N3O5
hit structure
1:599271 C30H35NO5
hit structure
1:599272 C30H35NO5
hit structure
1:599273 C35H44N2O7
hit structure
1:599274 C29H33NO5S
hit structure
1:599275 C30H35NO5
hit structure
1:599276 C34H42N2O7
hit structure
1:599277 C33H33NO5
hit structure
1:599278 C29H31NO5
hit structure
1:599279 C31H37NO6
hit structure
1:599280 C32H39NO6
hit structure

1
  <<    <    >    >>  

entries in data collection: 601967