Home Browse Text SearchFunctional Group SearchStructure SearchPreferences Administration

selected data collection: 1

IRIS SDF: browse content


1
  <<    <    >    >>  

1:599049 C20H19N7O4
hit structure
1:599050 C31H40N8O9
hit structure
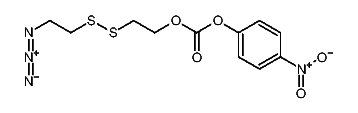
1:599051 C21H21N7O2S2
hit structure
1:599052 C26H30N8O4S2
hit structure
1:599053 C34H31N7O3
hit structure
1:599054 C24H22N2O2
hit structure
1:599055 C23H21F9N4O4S
hit structure
1:599056 C21H16F9NO5S
hit structure
1:599057 C35H41F9N4O6S2
hit structure
1:599058 C16H30N4O4S
hit structure
1:599059 C7H7N3O
hit structure
1:599060 C8H4N2O4S
hit structure
1:599061 C12H16N2O5S2
hit structure
1:599062 C5H9N3O2S2
hit structure
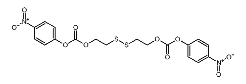
1:599063 C24H24N2O4S2
hit structure
1:599064 C14H24N6O2S3
hit structure
1:599065 C20H22BNO7
hit structure
1:599066 C36H35BN2O13
hit structure
1:599067 C11H12N4O5S2
hit structure
1:599068 C18H16N2O10S2
hit structure
1:599069 C19H14N2O4S3
hit structure
1:599070 C10H17NOS
hit structure
1:599071 C13H22N2O2S
hit structure
1:599072 C14H21NO4S
hit structure
1:599073 C18H34N4O5S
hit structure

1
  <<    <    >    >>  

entries in data collection: 599680